Jul-Aug 2016
UoK Disowns Karachi University Model United Nations II Conference
23 Aug 2016
University of Karachi has notified that a conference entitled "Karachi University Model United Nations II" is being held at Regent Plaza Hotel from 26th to 28th August 2016 misusing the name of University of Karachi as there is no permission/clearance taken from the university for organizing this conference. Therefore, Karachi University categorically disowns and denies any affiliation with "Karachi University Model United Nations II". University of Karachi will not be responsible for any financial or any sort of irregularity or mismanagement. Furthermore, KU's students' society "Karachi University Model United Nations Society" also has no affiliation whatsoever with this conference.
Lecturer of UoK Wins Best Research Paper Award in USA
22 Aug 2016
Karachi University Economics Dept. Lecturer Rabia Shakir got best research paper award at the 8th Annual International Conference "Research for Change" organized by World Business Institute, Australia at New York USA. She was the only Pakistani participant to be awarded the best paper award among the distinguished research scholars from all over the world. Her paper on Pakistan's Monetary Policy will be published in the Journal of Accounting, Finance and Economics, World Business Institute Australia. For this achievement, she was also awarded the fellowship in the World Business Institute Australia.
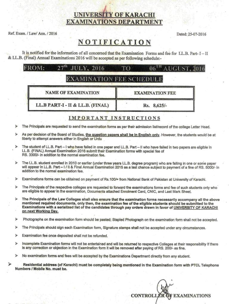
Seminar on Urbanization Trends in Karachi
26 July 2016
A seminar entitled "Urbanization trends in Karachi" organized by Applied Economics Research Center (AERC) K.U will be held on Wednesday 27th July 2016 at 11:00 am at AERC KU. Architect and Planner (Urban Resource Center) Arif Hasan will be the guest speaker.
