Mar-Apr 2021

B.A (Ext) Examination Fee Schedule 2020 (Revised)

29 April 2021

Click here

B.Com (Ext) Examination Fee Schedule 2020 (Revised)

29 April 2021

Click here

Schedule of Viva Voce Annual Examination 2020

22 April 2021

Click here

Fee Schedule for LL.B / BA. LL.B (Final) Supplementary Examination 2019

20 April 2021

Click here

B.A. / B.Sc. (Pass) Psychology Practical Exams 2020

06 April 2021

Click here

B.Com (Ext) Examination Fee Schedule 2020

02 April 2021

Click here

B.A (Ext) Examination Fee Schedule 2020

02 April 2021

Click here

Date Extended for Submission of B.Sc (Pass) Exams Fee

31 March 2021

Click here

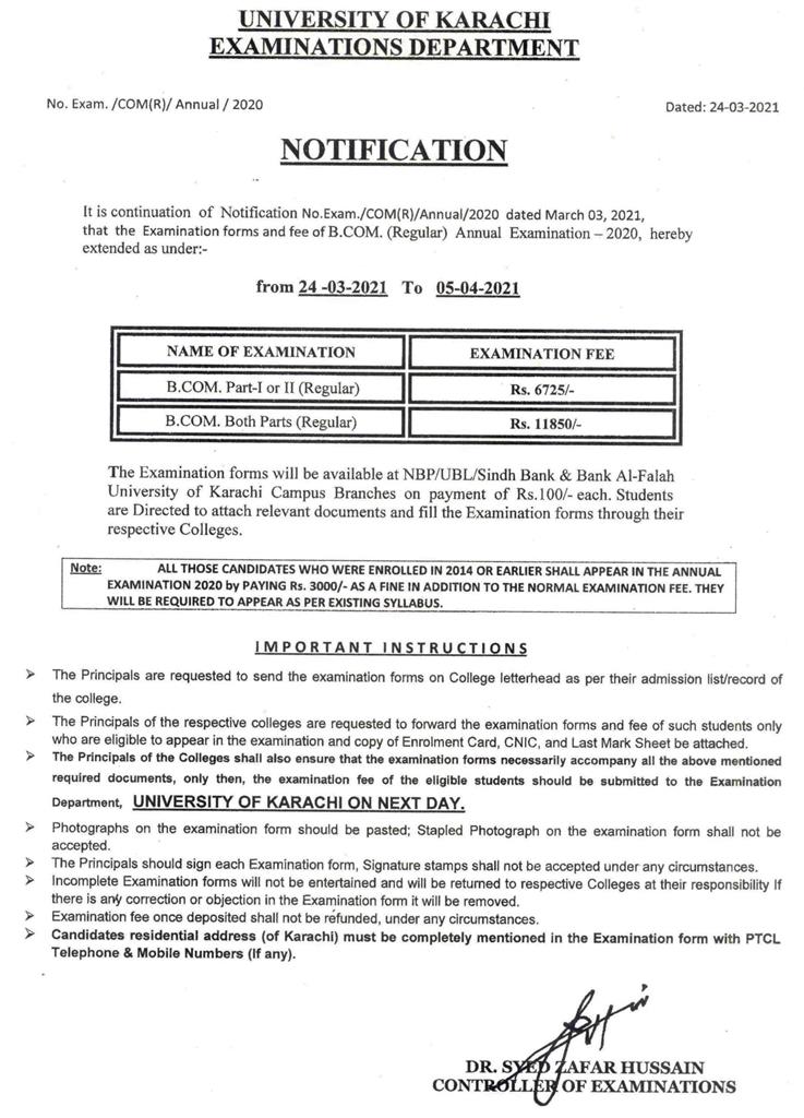
Date Extended for Submission of B.Com (Reg) Exams Fee

24 March 2021

Click here

Date Extended for Submission of B.Com (Ext) Exams Fee

22 March 2021

Click here

Submission of B.A (Ext) Examination Forms and Fee

17 March 2021

Click here

Postponement of B.Com Examinations

15 March 2021

Click here

Syllabus for Upcoming B.Com. Annual Examinations-2020

10 March 2021

Part - I | Part - II

B.A. LLB First Year Examinations Fee Schedule

09 March 2021

Click here

M.Ed (Morning & Evening) Examinations Fee Schedule

09 March 2021

Click here

Date Extended for Submission of B.A (Ext) Examinations Fee Schedule

09 March 2021

Click here

Date Extended for Submission of B.Com (Ext) Examinations Fee Schedule

09 March 2021

Click here

Fee Schedule of B.Com Annual Examination 2020

05 March 2021

Click here

B.Sc (Pass) Annual Examination Fee Schedule 2020

05 March 2021

Click here

Certificate & Diploma Courses (Arabic)

01 March 2021

Click here