Jan-Feb 2018
10th Anniversary of National Center for Proteomics
28 February 2018
A ceremony on the 10th anniversary of establishment of National Center for Proteomics, University of Karachi will be held on Thursday, 1st March, 2018 at 7:00 pm at the said center. Vice Chancellor KU Prof. Dr. Muhammad Ajmal Khan will be the chief guest while Director NCP Prof. Dr. Shamshad Zarina will deliver the welcome address.
Plantation Pivotal for Controlling the Heat Waves
28 February 2018
Vice Chancellor Prof. Dr. Muhammad Ajmal Khan said the global warming and increased frequency of heat waves have threatened the natural balance of environment. The natural calamities tropical cyclones, tornadoes, floods and droughts combining with global warming have become a serious threat for the south Asian countries. The trees play an important role to reduce the impact of these calamities. Plantation is the only way to save our world from the danger of global warming. We must promote the culture of plantation since it plays a major role in controlling the heat waves. He was expressing his views while inaugurating the plantation campaign at University of Karachi. Deans, Registrar Dr. Munawar Rasheed, Students Advisor Dr. Syed Asim Ali, Controller of Examinations and a large number of faculty and students were present on the occasion. The Vice Chancellor and deans planted different plants to inaugurate the campaign in which more than 2,500 plants will be planted. Dr. Ajmal Khan also inaugurated cleanliness campaign at the varsity and visited departments.
Stability of Pakistan in the Light of Holy Prophet's (PBUH)
28 February 2018
Seerah Conference entitled "Stability of Pakistan in the Light of Holy Prophet's (PBUH)” Seerah organized by Anjuman Muhibban-e-Rasool, University of Karachi will be held on 1st March, 2018 at 10:00 am at Arts Auditorium. Chairman Muslim Institute Sahibzada Sultan Ahmad Ali will be the guest speaker while Dean Faculty of Social Sciences Prof. Dr. Muhammad Ahmed Qadri will preside the occasion. Member Syndicate KU Dr. Haji Muhammad Hanif Tayyab will be the chief guest while Director HEJ, KU Prof. Dr. Iqbal Chaudhry will be the guest of honor.
Seminar on Quaid-e- Azam & Akabreen-e-Millat
21 February 2018
Seminar entitled “Quaid-e- Azam & Akabreen-e-Millat” jointly organized by Karachi University Officers Welfare Association and Sindh Universities Officers Federation in collaboration with ORIC, University of Karachi will be held on Thursday, February 22, 2018 at Arts Auditorium at 11:00 am. Vice Chancellor Prof. Dr. Muhammad Ajmal Khna will preside while Senator Taj Haider will be the chief guest. Sardar Yaseen Malik, Haji Muhammad Hanif Tayyab and Peer Syed Munawar Hussain Shah Jamati will be the guests of honor. Guest speakers will be Director Quaid-e-Azam Academy, Khawaja Razi Haider, Prof. Dr. Sahebzada Fareeduddin Qadri and Dean Faculty of Social Sciences and Islamic Studies Prof. Dr. Muhammad Ahmed Qadri.
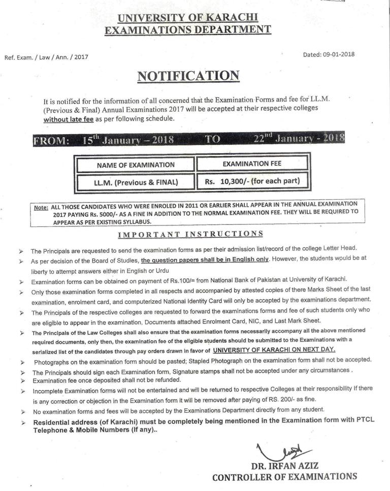
Submission of Enrolment Fees of LLB / LLM / M.Ed 2017-2018
21 February 2018
Controller Examinations has notified the schedule of the submission of enrolment fees of LLB/LLM/M.Ed for the academic session of 2017-2018. Candidates may submit their enrolment fees of Rs. 1500/- till 5th March 2018 while with the late fees of Rs. 750/= till 2nd April 2018 in their respective colleges.
Submission of Examination Forms & Fees of B.Com (Ext) Part 1, Part 2 & Both Parts
21 February 2018
Controller Examinations has notified that the last date of submission of examination forms and fees of Private B.Com part 1, part 2 and both parts will be 2nd March 2018. Students of B.com part 1 or part 2 may submit the examination forms with the fees of Rs. 4600/= while students of B.Com part 1 and part 2 both with the fees of Rs. 7900/= at silver jubilee gate bank counters KU. /=. All those candidates who were enrolled in 2011 or earlier could appear by submitting Rs. 3000/= as extra charges in addition to the normal examination fees.
Submission of Enrollment Fees of B.A, B.Sc. and B.Com 2017-2018
21 February 2018
Controller Examinations has notified the schedule of the submission of enrollment fees of B.A, B.Sc. and B.Com for the academic session of 2017-18. Candidates may submit their enrollment fees of Rs. 1500/- till 12th March 2018 while with the late fees of Rs. 800/= till 9th April 2018 in their respective colleges.
MBBS First and Second Professional Annual Examinations 2018
14 February 2018
BDS First and Second Professional Annual Examinations 2018
14 February 2018
Gold Medal Distribution Ceremony
07 February 2018
Gold Medal distribution ceremony for the departments of Faculty of Science, University of Karachi will be held on Thursday, 8th February, 2018 at Council Room, faculty of science. Vice Chancellor Prof. Dr. Muhammad Ajmal Khan will give away the gold medals to the position holder students. Dean, faculty of Science Prof. Dr. Tasneem Adam Ali will also address on the occasion.
Pakistani Nation are Committed to the Kashmiri Cause
07 February 2018
Students Advisor Office organized inter-departmental declamation competition on the eve of Kashmir day at Arts Auditorium, 37 students from different departments of the varsity participated in the competition. KU’s Students’ Advisor Dr. Syed Asim Ali congratulated the winning students and said that students of the University of Karachi alongside Pakistani nation are committed to the Kashmiri cause, we completely support the Kashmiri people who are constant target of the barbaric Indian forces who have denied the right of self-determination of the innocent Kashmiris since 1947. Kashmir issue must be resolved according to the will and wishes of the Kashmiri people and the United Nations resolutions.
Mehfil-e-Milaad-Un-Nabi (Sallal Laho Alehe Wasallam)
01 February 2018
KU Student Advisor has notified that 7 th Annual Mehfil-e-Melad-un-Nabi (Sallal Laho Alehe Wasallam) will be held on Wednesday 7 th February 2018 at 11:00 am at Parking Ground Near Arts Lobby Organize by Anjuman e Muhibbaan e Rasool University Of Karachi, Vice Chancellor Prof. Dr Ajmal Khan will preside while world renowned Naat khawan Mehmood ul Hassan Ashrafi & Zulfiqar Ali Hussaini will recite the Naat also world famous renowned research scholar Hazrat Allama Pir Saqib Iqbal Shami will deliver the speech & celebrated the occasion with students and Teachers by giving his words on the occasion. The Distinguished guest honorable Aqeel Karim Dhedhi(Chairman AKD Group) & Mehmood Trunk Wala(Chairman World Group) will be the Chief Guest In the End world famous Rohani Scholar Moulana Bashir Ahmed Farooqui will performed Dua.
5th International Workshop for Capacity Building
02 February 2018
5th International Workshop for Capacity Building on Nematology organized by National Nematological Research Center (NNRC), University of Karachi and Pakistan Society of Nematologists (PSN) in collaboration with Economic Cooperation Organization Science Foundation (ECOSF) will be held at NNRC, during February 12-22, 2018.
Morning and Evening (Outgoing/Ex-Students) Supplementary Examination 2017
30 January 2018
Governor Sindh to Inaugurate Counseling Center
22 January 2018
The inauguration ceremony of Counseling Center under the auspices of Department of Psychology will be held on Tuesday, 23rd January, 2018 at Arts Auditorium, University of Karachi at 11:00 am. Governor Sindh Muhammad Zubair will be the chief guest and inaugurate the center. Vice Chancellor Prof. Dr. Muhammad Ajmal Khan will preside while Dean, Faculty of social sciences Prof. Dr. Muhammad Ahmed Qadri, Sardar Yasin Malik, Prof. Dr. Farah Iqbal, Prof. Dr. Qudsia Tariq and Prof. Dr. Anila Amber Malik will address on the occasion. Chairperson Department of Psychology Prof. Dr. Farah Iqbal informed that this center is the first ever counseling center in a public sector university.
MBBS (Semester System) Exam Postponed
03 January 2018
It is for notification that MBBS (semester system) exam schedule to be held on 4th January, 2018 has been postponed due to unavoidable circumstances. The next date for the paper shall be announced later. However other exam will be held as per schedule.
